
В 1-литровую круглодонную колбу, снабженную мощной механической мешалкой, помещают смесь 200 г (2 мол.) окиси мезитила и 280 мл 27%-ного водного аммиака. Мешалка должна проходить через пробку таким образом, чтобы колба была закупорена почти герметически. Так как во время реакции выделяется большое количество тепла, рекомендуется охлаждать колбу струей холодной воды. После нескольких часов перемешивания (примечание 1) масса становится однородной; тогда мешалку останавливают, колбу хорошо закупоривают и оставляют стоять при комнатной температуре в течение трех дней (примечание 2).
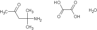
После этого через раствор продувают сухой воздух с тем, чтобы удалить избыток аммиака, и затем прибавляют равный объем абсолютного спирта. Пробу этого раствора титруют раствором щавелевой кислоты по лакмусовой бумажке (примечание 3). Вычисленное количество щавелевой кислоты (примечание 4), необходимое для образования кислой соли амина, помещают в большую фарфоровую чашку и растворяют в 4 л 95%-ного спирта. После этого раствор амина медленно, при постоянном перемешивании, вливают в раствор кислоты. Во время прибавления второй половины раствора амина чашку необходимо охлаждать, так как при нагревании может образоваться нейтральный оксалат.
Получившуюся смесь нагревают при постоянном перемешивании на водяной или воздушной бане до 70°. Затем массу фильтруют с отсасыванием в горячем состоянии через предварительно нагретую воронку Бюхнера. Фильтрат немедленно выливают в большой стакан или чашку для кристаллизации кислого щавелевокислого диацетонамина (примечание 5).
Осадок обрабатывают кипящим спиртом и смесь фильтруют с отсасыванием. Фильтрат еще содержит небольшое количество щавелевокислого диацетонамина. Из маточного раствора отгоняют спирт до тех пор, пока температура не поднимется до 78° (примечание 6); остаток оставляют на ночь на холоду. Выпавшие кристаллы промывают холодным абсолютным спиртом и сушат. Общий выход кислого щавелевокислого диацетонамина с т. пл. 126—127° составляет 285— 320 г (63—70% теоретич.; примечание 7).
Примечания
1. Время, необходимое для реакции, колеблется от 3 до 8 час. Если реакцию ведут на солнечном свету, то достаточно 3 час.
2. Три дня дают наилучшие результаты. При стоянии менее трех дней реакция не доходит до конца, а при более длительном стоянии уменьшается выход.
3. Объем раствора амина равен приблизительно 800—860 мл. На 10 мл этого раствора обычно идет35—50 мл 0,5-н. щавелевой кислоты.
4. Лакмус показывает образование нейтральной соли. Так как требуется кислая соль, то берут двойное количество кислоты против необходимого для нейтрализации на лакмус. Обычно идет 230—260 г кислоты.
5. Если кристаллы оставить в соприкосновении с маточным раствором в течение нескольких часов, то они несколько темнеют. Их можно опять обесцветить промывкой горячим абсолютным спиртом.
6. Спирт, полученный таким образом обратно, может служить растворителем при следующих загрузках. После отгонки 3,6 л спирта можно выделить из остатка немного (10—15 г) темных кристаллов. Для удаления большей части окрашивающих примесей эти кристаллы следует промыть несколько раз горячим спиртом.
7. Препарат совершенно не содержит триацетонамина, триацетондиамина и других побочных продуктов конденсации, но в нем имеется примесь (1—1,2%) щавелевокислого аммония. Последний не мешает дальнейшей переработке диацетонамина в другие продукты. Небольшое количество аммонийной соли практически не влияет на точку плавления. Перекристаллизацией из абсолютного алкоголя можно получить вполне чистый щавелевокислый диацетонамин.