Главная страница arrow-right Базы данных arrow-right База данных свойств веществ (поиск)
Карта сайта

Свойства вещества:

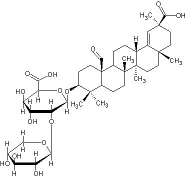
периандрин V


периандрин V
skc-файл

Тип вещества:

органическое

Брутто-формула (по системе Хилла для органических веществ):

C41H62O14

Молекулярная масса (в а.е.м.): 778,92

Некоторые числовые свойства вещества:

Сладость по отношению к 2% раствору сахарозы: 200

      Источники информации:

      1. Pure and Applied Chemistry. - 2002. - Vol. 74, No. 7. - С. 1174


      Если не нашли нужное вещество или свойства можно выполнить следующие действия:
      Если вы нашли ошибку на странице, выделите ее и нажмите Ctrl + Enter.



      © Сбор и оформление информации: Руслан Анатольевич Кипер