Главная страница arrow-right Базы данных arrow-right База данных свойств веществ (поиск)
Карта сайта

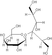
Свойства вещества:

лактит


лактит
skc-файл

Синонимы и иностранные названия:

4-O-(β-D-galactopyranosyl)-D-glucitol (англ.)
lactit (англ.)
lactitol (англ.)
lactobiosit (англ.)

Тип вещества:

органическое

Внешний вид:

бел. кристаллы

Брутто-формула (по системе Хилла для органических веществ):

C12H24O11

Молекулярная масса (в а.е.м.): 344,31

CAS №: 585-86-4

Температура плавления (в °C):

120

Растворимость (в г/100 г растворителя или характеристика):

вода: 120 (20°C) [Лит.]

Вкус, запах, гигроскопичность:

запах: без запаха

Некоторые числовые свойства вещества:

Сладость по отношению к 10% раствору сахарозы: 0,42
Сладость по отношению к 2% раствору сахарозы: 0,3

      Источники информации:

      1. Journal of Thermal Analysis. - 1997. - Vol. 49, No. 2. - С. 812
      2. Mitchell H. Sweeteners and Sugar Alternatives in Food Technology, 2006. - С. 205-222
      3. Нечаев А.П., Кочеткова А,А., Зайцев А.Н. Пищевые добавки. - М.: Колос, 2002. - С. 145


      Если не нашли нужное вещество или свойства можно выполнить следующие действия:
      Если вы нашли ошибку на странице, выделите ее и нажмите Ctrl + Enter.



      © Сбор и оформление информации: Руслан Анатольевич Кипер