Главная страница arrow-right Базы данных arrow-right База данных свойств веществ (поиск)
Карта сайта

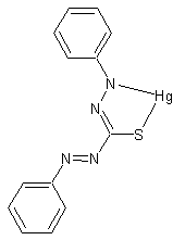
Свойства вещества:

ртути(II) дитизонат (1/1)


ртути(II) дитизонат (1/1)
skc-файл

Тип вещества:

неорганическое

Внешний вид:

фиолетово-красн.

Брутто-формула (по системе Хилла для органических веществ):

C13H10HgN4S

Формула в виде текста:

HgSC(NNC6H5)=NNC6H5

Молекулярная масса (в а.е.м.): 454,9003

Растворимость (в г/100 г растворителя или характеристика):

вода: не растворим [Лит.]
тетрахлорметан: 0,037 (при комнатной температуре) [Лит.]
хлороформ: 0,07 [Лит.]

Цвет растворов:

фиолетов. (растворитель: тетрахлорметан)

      Спектральные свойства вещества:

      Ультрафиолетовый/видимый спектр (максимум в нм, толщина слоя 1 см, в скобках - экстинция) = 515 (236) (в тетрахлорметане)

      Источники информации:

      1. Гладышев В.П., Левицкая С.А., Филлипова Л.М. Аналитическая химия ртути. - М.: Наука, 1974. - С. 24


      Если не нашли нужное вещество или свойства можно выполнить следующие действия:
      Если вы нашли ошибку на странице, выделите ее и нажмите Ctrl + Enter.



      © Сбор и оформление информации: Руслан Анатольевич Кипер