Главная страница arrow-right Базы данных arrow-right База данных свойств веществ (поиск)
Карта сайта

Свойства вещества:

ртути(II) дитизонат (1/2)


ртути(II) дитизонат (1/2)
skc-файл

Тип вещества:

неорганическое

Внешний вид:

оранжево-желт.

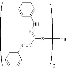
Брутто-формула (по системе Хилла для органических веществ):

C26H22HgN8S2

Формула в виде текста:

Hg(SC(=NNHC6H5)N=NC6H5)2

Молекулярная масса (в а.е.м.): 711,226

Растворимость (в г/100 г растворителя или характеристика):

вода: не растворим [Лит.]
тетрахлорметан: 0,0029 (при комнатной температуре) [Лит.]
хлороформ: 0,013 [Лит.]

Цвет растворов:

оранжево-желт. (растворитель: тетрахлорметан)

Реакции вещества:

  1. Разлагается соляной кислотой с концентрацией больше 1 н. [Лит.]
  2. Раствор в тетрахлорметане очень чувствителен к действию света. При облучении оранжево-желтый раствор буреет, затем становится серым и потом грязновато-зеленым. В присутствии 2 н. уксусной кислоты устойчивость к свету значительно возрастает. [Лит.]

Реакции, в которых вещество не участвует:

  1. Устойчив к действию 10 н. серной кислоты. [Лит.]
  2. Устойчив в разбавленных щелочах. [Лит.]

Спектральные свойства вещества:

Ультрафиолетовый/видимый спектр (максимум в нм, толщина слоя 1 см, в скобках - экстинция) = 485 (712) (в тетрахлорметане)

Источники информации:

  1. Гладышев В.П., Левицкая С.А., Филлипова Л.М. Аналитическая химия ртути. - М.: Наука, 1974. - С. 24


Если не нашли нужное вещество или свойства можно выполнить следующие действия:
Если вы нашли ошибку на странице, выделите ее и нажмите Ctrl + Enter.



© Сбор и оформление информации: Руслан Анатольевич Кипер