Главная страница arrow-right Базы данных arrow-right База данных свойств веществ (поиск)
Карта сайта

Свойства вещества:

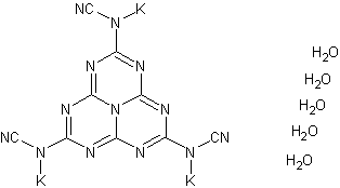
трикалия 1,3,4,6,7,9,9b-гептаазафенален-2,5,8-трис(цианамид) - вода (1/5)


трикалия 1,3,4,6,7,9,9b-гептаазафенален-2,5,8-трис(цианамид) - вода (1/5)
skc-файл

Синонимы и иностранные названия:

калия гидромелонат пентагидрат (рус.)

Тип вещества:

неорганическое

Брутто-формула (по системе Хилла для органических веществ):

C9H10K3N13O5

Молекулярная масса (в а.е.м.): 497,5547

Температура разложения (в °C):

120

Реакции вещества:

  1. При 120 С теряет 4 молекулы воды, при 150 С - пять молекул воды. [Лит.]

    Источники информации:

    1. Smolin E.M., Rapoport L. s-Triazines and derivatives. - New York: Interscience Publishers Inc., 1959. - С. 468


    Если не нашли нужное вещество или свойства можно выполнить следующие действия:
    Если вы нашли ошибку на странице, выделите ее и нажмите Ctrl + Enter.



    © Сбор и оформление информации: Руслан Анатольевич Кипер