Главная страница arrow-right Базы данных arrow-right База данных свойств веществ (поиск)
Карта сайта

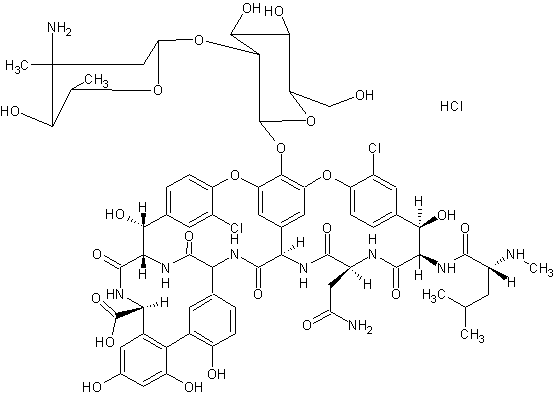
Свойства вещества:

ванкомицина гидрохлорид


ванкомицина гидрохлорид
skc-файл

Синонимы и иностранные названия:

vancomycin hydrochloride (тривиальное, англ.)

Тип вещества:

органическое

Внешний вид:

светло-коричнев. порошок

Брутто-формула (по системе Хилла для органических веществ):

C66H76Cl3N9O24

Молекулярная масса (в а.е.м.): 1485,715

CAS №: 1404-93-9

Растворимость (в г/100 г растворителя или характеристика):

ацетон: не растворим [Лит.]
вода: 10 (20°C) [Лит.]
диэтиловый эфир: не растворим [Лит.]

      Аналитические реакции вещества:

      Применение:

      Лекарственное средство: противомикробное.

      Источники информации:

      1. Clarke's Analysis of Drugs and Poisons. - 4 ed. - London, 2011. - С. 2218-2219
      2. Clarke's isolation and identification of drugs. - 2ed. - London: Pharmaceutical press, 1986. - С. 1060
      3. Elks J., Ganellin C.R. Dictionary of Drugs: Chemical Data, Structures and Bibliographies. - Springer, 1990. - С. 1271
      4. The Merck Index. - 11th ed. - Merck & Company, 1989. - С. 1561
      5. Регистр лекарственных средств России: Энциклопедия лекарств. - 8 изд. - М., 2001. - С. 170-171


      Если не нашли нужное вещество или свойства можно выполнить следующие действия:
      Если вы нашли ошибку на странице, выделите ее и нажмите Ctrl + Enter.



      © Сбор и оформление информации: Руслан Анатольевич Кипер