Главная страница arrow-right Базы данных arrow-right База данных свойств веществ (поиск)
Карта сайта

Свойства вещества:

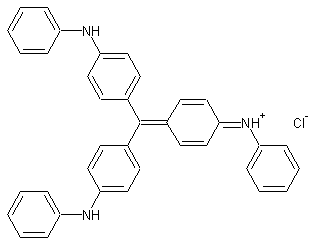
анилиновый синий


анилиновый синий
skc-файл

Синонимы и иностранные названия:

анилиновый голубой (рус.)
спиртовый голубой (рус.)

Тип вещества:

органическое

Брутто-формула (по системе Хилла для органических веществ):

C37H30ClN3

Формула в виде текста:

(C6H5NHC6H4)2C=C6H4=NHC6H5(Cl)

Молекулярная масса (в а.е.м.): 552,107

Растворимость (в г/100 г растворителя или характеристика):

1-бутиламин: мало растворим [Лит.]
бензиламин: мало растворим [Лит.]
вода: очень мало растворим [Лит.]
дибутиламин: не растворим [Лит.]
диэтиламин: мало растворим [Лит.]
трибутиламин: не растворим [Лит.]
триэтиламин: не растворим [Лит.]
этанол: растворим [Лит.]

Метод получения 1:

Источник информации: Родионов В.М., Богословский Б.М., Федорова А.М. Лабораторное руководство по химии промежуточных продуктов и красителей. - М.-Л.: ГНТИХЛ, 1948 стр. 147

5 г фуксина, 50 г анилина, 1,5 г безводного ацетата натрия и 0,6 г бензойной кислоты вносят в колбу, снабженную пробкой с отверстиями для термометра и отводной трубки, для собирания отходящих воды, анилина и аммиака. Смесь медленно нагревают на масляной бане и выдерживают (3—4 часа) при 180 С до тех пор, пока несколько капель пробы, растворенных в спирте, не будут давать на фильтровальной бумаге чистого синего оттенка при дневном свете. Горячий плав выливают в стакан и обрабатывают 40 мл НС1 (пл. 1,14). Темно-синий осадок горячим отсасывают и промывают горячей водой, слабо подкисленной НCl. Готовый краситель сушат не выше чем при 80°.

Выход: ок. 6 г (ок. 70%).

      Источники информации:

      1. Каррер П. Курс органической химии. - 2-е изд., под ред. Колосова М.Н. - Л.: ГНТИХЛ, 1962. - С. 751-752


      Если не нашли нужное вещество или свойства можно выполнить следующие действия:
      Если вы нашли ошибку на странице, выделите ее и нажмите Ctrl + Enter.



      © Сбор и оформление информации: Руслан Анатольевич Кипер