Главная страница arrow-right Базы данных arrow-right База данных свойств веществ (поиск)
Карта сайта

Свойства вещества:

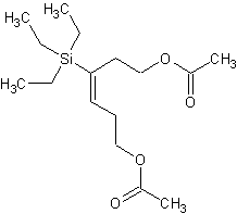
(E)-3-триэтилсилилгексен-3-диол-1,6-диацетат


(E)-3-триэтилсилилгексен-3-диол-1,6-диацетат
skc-файл

Тип вещества:

элементоорганическое

Брутто-формула (по системе Хилла для органических веществ):

C16H30O4Si

Молекулярная масса (в а.е.м.): 314,49

Метод получения 1:

Источник информации: Титце Л., Айхер Т. Препаративная органическая химия. - М., 1999 стр. 55

К 2,00 г (10,1 ммоль) гексин-3-диол-1,6-диацетата и 3,00 г (25,0 ммоль, 4,10 мл) триэтилсилана (т. кип. 105-107 С/760 мм рт. ст.) добавляют кристаллик (около 0,01 мол. %) безводной гексахлороплатино¬вой кислоты и затем нагревают (107 °С) с обратным холодильником в течение 4 ч.

Окончательная перегонка дает 2,9 г (91%) винилсилана с т. кип. 100°С/0,07 мм рт. ст.

ИК(пленка): 2950 (СН), 1740 (С=О), 1610 см-1 (С=С, слабая)

ПMP(CDCl3): 5,75 (т, J 7 Гц; 1 Н, С=СН), 4,2-3,7 (м: 4 Н, СН2—О), 2,7-2,2 (м; 4 Н, СН2—С=С), 2,08 (с; 6 Н, СН3), 1,2-0,4 (м; 15 Н, Si— C2H5).

      Давление паров (в мм рт.ст.):

      0,07 (100°C)

      Источники информации:

      1. Титце Л., Айхер Т. Препаративная органическая химия. - М., 1999. - С. 55


      Если не нашли нужное вещество или свойства можно выполнить следующие действия:
      Если вы нашли ошибку на странице, выделите ее и нажмите Ctrl + Enter.



      © Сбор и оформление информации: Руслан Анатольевич Кипер