Главная страница arrow-right Базы данных arrow-right База данных свойств веществ (поиск)
Карта сайта

Свойства вещества:

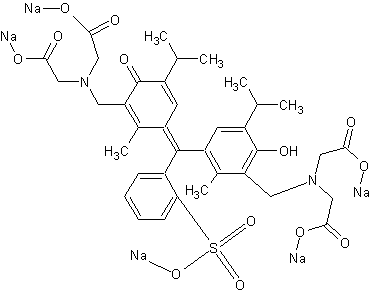
метилтимоловый синий


метилтимоловый синий
skc-файл

Синонимы и иностранные названия:

methylthymol blue sodium salt (англ.)

Тип вещества:

органическое

Внешний вид:

темно-фиолетов. кристаллы

Брутто-формула (по системе Хилла для органических веществ):

C37H39N2Na5O13S

Молекулярная масса (в а.е.м.): 866,725

Растворимость (в г/100 г растворителя или характеристика):

вода: растворим [Лит.]

      Источники информации:

      1. Химическая энциклопедия. - Т. 3. - М.: Советская энциклопедия, 1992. - С. 66


      Если не нашли нужное вещество или свойства можно выполнить следующие действия:
      Если вы нашли ошибку на странице, выделите ее и нажмите Ctrl + Enter.



      © Сбор и оформление информации: Руслан Анатольевич Кипер