
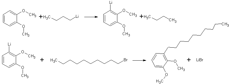
Процесс проводят при перемешивании магнитной мешалкой и охлаждении на бане. Для реакции используют трехгорлую колбу емкостью 500 мл, снабженную обратным холодильником с хлоркальциевой трубкой, трубкой для пропускания газа и затвора с септой.
К продутому током аргона раствору 0,25 моль (34,5 г) вератрола в 150 мл сухого тетрагидрофурана в атмосфере аргона при температуре 0 °С (ледяная баня!) при перемешивании, с помощью шприца в течение 10 мин впрыскивают через септу 0,17 моль н-бутиллития (123 мл 1,36 М раствора н-бутиллития в диэтиловом эфире). Перемешивают еще 1,5 ч при 0 °С, после чего впрыскивают шприцем продутый аргоном раствор 0,083 моль (18,5 г) 1-бромдекана в 20 мл ТГФ. После трехчасового нагревания с обратным холодильником смесь охлаждают до комнатной температуры. Для гидролиза осторожно прикапывают 100 мл 10%-ной соляной кислоты, разделяют фазы, водный слой дважды встряхивают со 150 мл эфира, объединенную органическую фазу промывают 20 мл 10%-ного гидроксида натрия, водой, сушат безводным сульфатом магния и удаляют растворитель на роторном испарителе. Остаток перегоняют на короткой колонке Вигре в вакууме и после отгонки вератрола получают 17 г (73% от стехиометрии) продукта в виде бесцветной жидкости, т. кип. 139—140 °С при 0,5 мм рт. ст.