Главная страница arrow-right Базы данных arrow-right База данных свойств веществ (поиск)
Карта сайта

Свойства вещества:

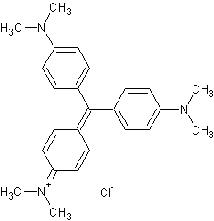
кристаллический фиолетовый


кристаллический фиолетовый
skc-файл

Синонимы и иностранные названия:

N-4-[bis[4-(dimethylaminophenyl)methylene]-2,5-cyclohexadien-1-ylidene]-N-methylmethaninium chloride (химическое, англ.)
crystal violet chloride (англ.)
кристаллвиолет (рус.)

Тип вещества:

органическое

Внешний вид:

темно-зелен. кристаллы

Брутто-формула (по системе Хилла для органических веществ):

C25H30ClN3

Молекулярная масса (в а.е.м.): 407,98

Температура разложения (в °C):

215

Растворимость (в г/100 г растворителя или характеристика):

вода: 5 [Лит.]
диэтиловый эфир: не растворим [Лит.]
хлороформ: растворим [Лит.]
этанол: 10 (78°C) [Лит.]

      Разные дозы:

      Максимально переносимая доза белым крысам через рот 10 мг/кг, абсолютно смертельная 50 мг/кг.

      Источники информации:

      1. Armarego W. L. F. Purification of Laboratory Chemicals. - 7ed. - 2013. - С. 305
      2. Вредные вещества в промышленности: Справочник для химиков, инженеров и врачей. - 7-е изд., Т.2. - Л.: Химия, 1976. - С. 517
      3. Химическая энциклопедия. - Т. 2. - М.: Советская энциклопедия, 1990. - С. 533


      Если не нашли нужное вещество или свойства можно выполнить следующие действия:
      Если вы нашли ошибку на странице, выделите ее и нажмите Ctrl + Enter.



      © Сбор и оформление информации: Руслан Анатольевич Кипер