Главная страница arrow-right Базы данных arrow-right База данных свойств веществ (поиск)
Карта сайта

Свойства вещества:

инден


инден
skc-файл

Синонимы и иностранные названия:

indene (англ.)

Тип вещества:

органическое

Внешний вид:

бесцветн. жидкость

Брутто-формула (по системе Хилла для органических веществ):

C9H8

Молекулярная масса (в а.е.м.): 116,163

CAS №: 95-13-6

Температура плавления (в °C):

-1,8

Температура кипения (в °C):

182,8

Растворимость (в г/100 г растворителя или характеристика):

ацетон: растворим [Лит.]
бензол: растворим [Лит.]
вода: не растворим [Лит.]
диэтиловый эфир: смешивается [Лит.]
пиридин: растворим [Лит.]
хлороформ: мало растворим [Лит.]
этанол: смешивается [Лит.]

Плотность:

0,996 (25°C, г/см3, состояние вещества - жидкость)

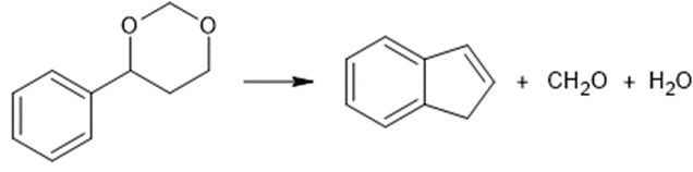
Метод получения 1:

Источник информации: Патент СССР SU416,340 (от 25.02.1974). Способ получения индена


Термокаталитическое разложение 4-фенил-1,3-диоксана проводят в электропечи блочного типа, в которую вставляют реактор из кварцевого стекла длиной 800 мм и диаметром 20 мм, содержащий 70 мл катализатора — фосфата кальция. Фенилдиоксан и воду в зону реакции подают двухплунжерным дозировочным насосом. После прохождения катализаторного слоя пары конденсируются в холодильнике и катализат разделяют на масляный и водный слои. Из масляного слоя перегонкой под атмосферным давлением, а потом — под вакуумом выделяют непревращенный диоксан и инден.

За 3 час разложению было подвергнуто 70 г 4-фенил-1,3-диоксана (объемная скорость подачи 0,3 час-1). В качестве разбавителя используют воду в соотношении: на 1 вес. ч. диоксана 3 вес. ч. воды, причем опыт проводят при 300°С.

Из катализата выделяют фенилдиоксан в количестве 10,6 г (конверсия 74,3%) и 28,6 г индена с т. кип. 66°С/15 мм. n(20, D) 1,5750, d(20/4) 0,9968. Выход индена 68% от теоретического.

Аналогичный опыт с спользованием фосфорной кислоты на силикагеле в качестве катализатора дал 35,4 г индена из 83,2 г фенилдиоксана. Выход 72%, конверсия 84,8%.

Способы получения:

  1. Инден может быть получен пропусканием смеси паров 4-бензил-1,3-диоксолана и воды (1:3) над смесью фосфата и гидрофосфата кальция при температуре 120-160 °С. Выход 78,2 - 98,8%. [Лит.1aster]

      Показатели диссоциации:

      pKa (1) = 18,5 (25°C, вода)

      Источники информации:

      1. CRC Handbook of Chemistry and Physics. - 95ed. - CRC Press, 2014. - С. 3-320
      2. Физико-химические свойства индивидуальных углеводородов. - М.: ГНТИНГТЛ, 1960. - С. 30-31
      3. Химическая энциклопедия. - Т. 2. - М.: Советская энциклопедия, 1990. - С. 224


      Если не нашли нужное вещество или свойства можно выполнить следующие действия:
      Если вы нашли ошибку на странице, выделите ее и нажмите Ctrl + Enter.



      © Сбор и оформление информации: Руслан Анатольевич Кипер